Il est exigible le 1er de chaque mois (Pensez à conserver vos avis d’échéances durant 5 ans, au moins). Vos avis d'échéance seront prochainement disponibles sur un espace sécurisé "Mon espace en ligne". Différents modes de paiement sont possibles :
Les avantages :
- C'est simple : il suffit de remplir un formulaire de prélèvement et le loyer est prélevé automatiquement sur votre compte bancaire ou postal.
- C'est gratuit et économique : aucun frais supplémentaire, plus besoin de vous déplacer, d'utiliser des enveloppes et de payer des timbres
- C'est sûr : pas de risque d'oubli, de retard ou de perte de courrier. Vous êtes informé sur votre avis d'échéance du montant de votre loyer et de la date du prélèvement.
Vous êtes intéressé(e) ?
Téléchargez le formulaire de prélèvement automatique et adressez-le, accompagné d'un relevé d'identité bancaire (RIB) ou postal (RIP), par courrier à LIMOGES HABITAT - 224 Rue François Perrin - CS 83709 - 87010 LIMOGES CEDEX - ou déposez-le directement au siège ou auprès de votre agence de proximité.
Votre prélèvement, mode d'emploi consultez

Plusieurs possibilités :
En payant directement au siège de Limoges habitat ou dans les agences de proximité
Avec un smartphone
1-Télécharger l’application « Limoges habitat »

2- Ouvrir l'application et flasher le QR Code qui se trouve sur l'avis d’échéance du mois en cours. L’appli reconnait tout de suite le compte. Le montant du loyer s’affiche.

3- Rentrer les informations bancaires, valider et le loyer est payé.

Avec un accès à internet
1- Se connecter au site de Limoges habitat
2- Sur la page d’accueil du site, cliquer sur le picto
en haut à droite de l'écran
3- Entrer son identifiant et son mot de passe.

4- Accèder à son espace personnel. Cliquer sur « Mes Loyers ». Le montant du loyer s’affiche.


5- Cliquer sur « Payer ». Saisir les informations bancaires. Valider. Le loyer est payé.
Par téléphone
Contactez nous au 05 55 43 45 00, nous prendrons votre paiement directement par carte bancaire
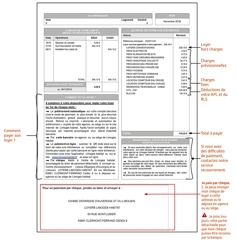
1. Pour tout paiement par chèque, Il est obligatoire de bien REMPLIR TOUTES LES PARTIES du chèque : montant à payer en lettres / montant à payer en chiffres / l’ordre du chèque / le lieu / la date / votre signature.

ATTENTION, SI UNE PARTIE N’EST PAS REMPLIE, le chèque sera REFUSE PAR LA BANQUE.
2. Vous devez impérativement joindre le Talon détachable de l'avis d'échéance dans l’enveloppe avec votre chèque, il permet d'identifier votre paiement.

ATTENTION SI LE TALON EST MANQUANT, le chèque sera REFUSE PAR LA BANQUE.
3. UNE FOIS LE CHEQUE REMPLI ET LE TALON DECOUPE, METTRE LE TOUT SOUS PLI et :
- envoyer à l’adresse ci-contre :

- ou déposer en agence ou au siège de Limoges habitat.
NIRIO est nouvelle application de paiement du groupe FDJ.
Payez votre loyer en espèces ou en carte bleue,en totalité ou partiellement, dans les points bar - tabac - presse agréés.
MODE D'EMPLOI en 10 étapes
- Téléchargez l’App Nirio sur votre smartphone Android ou IOS
- Créez votre compte en quelques minutes seulement (vous aurez besoin d’une pièce d’identité pour des raisons de sécurité)
- Scannez le QR code présent sur votre facture avec l’App Nirio
- Validez les informations et générez un code de paiement
- Rendez-vous dans un des points de vente agréés Nirio (liste disponibles sur l'App)
- Scannez le code de paiement dans le terminal FDJ habituel
- Présentez votre pièce d’identité (celle utilisée pour créer votre compte)
- Effectuez votre paiement en espèces ou en carte partiellement ou en totalité
- Récupérez votre justificatif papier auprès du commerçant
- Retrouvez l’historique de vos paiements dans l’App Nirio
Tutos mode d'emploi ici
Les frais de transaction sont de 1€ chez Limoges habitat au lieu de 4,80€.


Cette année, la loi de finances 2024 nous permet en tant que bailleur social, d'accepter directement les chèques énergie*, ils pourront donc être utilisés chez Limoges habitat.
La collecte du chèque énergie peut se faire dès aujourd'hui. Toutefois, ils ne seront traités qu'à partir du mois de juin. Comptez un délai d'un mois pour le traitement.
Si le montant du chèque est supérieur au total du loyer et des charges, le surplus sera automatiquement déduit de la quittance du mois suivant.
Exemple : si votre loyer est de 200 € charges comprises et que le montant de votre chèque énérgie est de 277 €, une déduction de 77 € sera appliquée automatiquement sur votre prochain loyer et charges. Si le locataire dépose le chèque début mai, il sera traité en juin.
*Chèques énergies 2024 sont utilisables jusqu'au 31 mars 2025
Je n’ai pas reçu mon chèque énergie, que faire ?
Pour les ménages éligibles n’ayant pas reçu leur chèque énergie, un portail de réclamation sera accessible à partir de juillet sur https://chequeenergie.gouv.fr/
Plus d'informations sur https://chequeenergie.gouv.fr/
Où déposer mon chèque ?
À l’accueil de nos agences ou au siège
ou par courrier à :
Limoges habitat,
224 rue François Perrin
CS 90 398, 87000 Limoges Cedex 1
ATTENTION
Merci de joindre à votre chèque énergie un avis d’échéance ou une facture récente de Limoges habitat afin que nous puissions identifier votre contrat de bail. Veuillez ne pas écrire sur le document officiel du chèque.



